1. Introduction
Environmental pollution is one of the most frequently stated problems with various construction projects [1]. Noise, dust and sewage in the construction process will affect the surrounding environment and cause trouble to the lives of residents nearby. Especially in urban areas, due to the high density of residents, construction noise and dust are more likely to cause dissatisfaction and complaints from residents. First of all, construction noise is a common environmental problem. The noise generated by construction machinery such as excavators and pile drives often exceeds the standards, affecting the normal life of surrounding inhabitants. Secondly, construction dust will also have an impact on the environment. Dust may be produced in the soil excavation and material transportation of foundation pit supporting construction, which will affect the surrounding air quality. In addition, construction sewage [2] is also an environmental problem [3]. If the sewage generated in the foundation pit supporting construction is not directly discharged after treatment, it may cause damage to the surrounding area. The water source causes pollution, which affects the living water and ecological environmental of those residents. In urban environments, if solid waste, encompassing categories such as refuse and construction debris, is not managed appropriately or is mishandled, it may result in the generation of landfill chattel, contamination of construction materials, and the introduction of various pollutants flow into waterways.
For the development of modern cities, water is indispensable, and the most basic survival guarantee of human beings is water, and the purity of water resources is particularly important. During construction, water resources will be more or less polluted, and these problems will have a great impact on the water quality of residents. When carrying out construction work and discharging waste, it is important to ensure that water resources are not contaminated. If the discharged sewage is not processed, then the city's water circulation system will be seriously affected by this factor, and the consequences of this problem are extremely serious.
In the building water supply and drainage system, there are many different types of water pollution, such as physical pollution, chemical pollution and biological pollution [4]. These types are rich and varied and each has its own characteristics for the normal operation of the whole system as well as for people. The safety of domestic water has an important impact. Physical pollution mainly covers suspended substances and turbidity. Suspension Floating matter refers to tiny particles or solid matter present in water that can come from pipeline corrosion, sediment, dirt, etc. These suspended substances make the water cloudy, it affects the transparency and appearance of the water. Chemical pollution involves the presence of chemicals such as heavy metals and organic matter. Heavy metals such as lead, cadmium, and mercury may come from corrosion of water supply pipes, industrial discharges, or other sources. These heavy metals have high toxicity, long-term ingestion or exposure may cause serious harm to human health. Biological pollution is mainly caused by the breeding of microorganisms such as bacteria and viruses. These microorganisms may exist in various links of water supply and drainage systems such as water tanks, pools, pipes, etc. Bacteria and viruses can enter the water supply and drainage system through various ways, such as water contamination, improper maintenance and cleaning.
This topic is chosen primarily for the following reasons. First and foremost, water, as the indispensable source of life, nurtures all living things and has enabled the emergence and development of human civilization. However, amid the rapid development of recent decades, humanity has overlooked the critical issue of water pollution. Therefore, it is worth to analyze and reflect on the root causes of water pollution. Next, addressing water pollution is a pivotal component of the environmental challenges humanity faces in the 21st century. Environmental scientists and ecologists worldwide increasingly recognize that water quality issues are fundamentally linked to the health of aquatic ecosystems. However, if we can effectively harness modern scientific and technological advancement, strategic management practices, and specialized expertise, achieving greater economic, social and ecological benefits is well within reach. This paper will develop its analysis through a review of representative cases, such as specific water pollution incidents in selected countries, as well as an exploration of feasible governance frameworks for effective management.
2. Research review
In order to have a clearer understanding of the legacy effects of construction on water pollution, this project research is based on the existing literature on the overall harm of Water Conservancy and Hydropower Engineering/Projects (WCHE) to water resources and the superimposed effects of WCHE in different periods, which eventually form a vicious circle of “pollution accumulation - ecological degradation - health risk”
2.1. What is WCHE
Water Conservancy and Hydropower Engineering refers to the systematic engineering of rational development and utilization of water resources through scientific planning, design, construction and operation to achieve comprehensive objectives such as flood control, power generation, water supply, irrigation, shipping and ecological protection [5]. It combines hydraulic engineering (based on water resources regulation and disaster prevention) and hydropower engineering (based on hydroelectric power generation), which is an important infrastructure supporting the development of modern society (see Table 1 and Table 2).
Core compositions and functions |
Main features |
Water conservancy functions |
Flood control and drought relief: flood water storage through reservoirs; Water resources allocation: inter-basin water transfer to Irrigation and water supply: Ensuring water for |
Irrigation and water supply: Ensuring water for |
Clean energy production: Generating electricity from hydropower, Power grid peak regulation: Through pumped storage power stations to |
Ecological functions |
Ecological water replenishment: maintain the minimum Water quality improvement: The turbidity of the water body is reduced |
Types |
Typical structure |
Example data |
Dams and reservoirs |
Gravity dam, arch dam, earth-rock dam |
Three Gorges Dam (from China) The dam is 181 meters high and has a reservoir capacity of 39.3 billion m³ |
Hydropower station |
Diversion type, behind dam type, mixed type |
Xiluodu Hydropower Station (13.86 million kW installed capacity) |
Water conveyance project |
Tunnels, aqueducts, pipes |
Yinhanjiwei Project (98km water transmission line) |
Flood control project |
Levee, flood diversion area, flood storage area |
Jingjiang Flood diversion area (volume 5.4 billion m³) |
Ecological rehabilitation project |
Fishways, constructed wetlands |
Artificial breeding and release of Chinese sturgeon in the Yangtze River (annual release of 500,000) |
The most well-known example of “hydropower-covered river” is Brahmaputra River. The following developments in the design and construction of 66 hydropower projects of up to 5,000 MW in the Brahmaputra River basin in India can give a more intuitive idea of the scale of hydropower projects (see Table 3).
number |
capacity |
capacity/MW |
capacity/MW |
length/m |
output/kw.h |
|
1 |
Arakot |
3 |
24 |
72 |
250.2 |
382.9 |
2 |
Badrinath |
2 |
70 |
140 |
459.67 |
702.7 |
3 |
Bagoli Dam |
3 |
24 |
72 |
139.5 |
340.7 |
4 |
Bhaironghati |
2 |
32.5 |
65 |
108.9 |
293.18 |
5 |
Bogudiyar-Sirkari Bhyal 2 |
2 |
85 |
170 |
344.47 |
744 |
6 |
Bokang Baling |
3 |
110 |
330 |
455.2 |
1124.62 |
7 |
Chhunger-Chal |
2 |
120 |
240 |
292.83 |
853.28 |
8 |
Deodi |
2 |
30 |
60 |
560.3 |
296.76 |
9 |
Devsari |
3 |
100 |
300 |
227.5 |
878.5 |
10 |
Gangotri |
1 |
55 |
55 |
336.33 |
264.76 |
11 |
Garba Tawaghat |
3 |
210 |
630 |
470.97 |
2483.11 |
12 |
Gohana Tal 2 |
2 |
30 |
60 |
584.52 |
269.35 |
13 |
Harsil |
3 |
70 |
210 |
281.33 |
920.57 |
14 |
Jadth Ganga 2 |
2 |
25 |
50 |
142.6 |
220.88 |
15 |
Jakhol Sankri 3 |
3 |
11 |
33 |
364 |
144.24 |
16 |
Jelam Tamak 2 |
2 |
30 |
60 |
195.58 |
268.12 |
17 |
Kalika Dantu 2 |
2 |
115 |
230 |
99.75 |
1067.3 |
Table 3. Continued |
||||||
18 |
Karmoli |
2 |
70 |
140 |
419.67 |
621.31 |
19 |
Khartoi Lumti Talli |
2 |
27.4 |
55 |
56.6 |
241.51 |
20 |
Lata Tapovan |
4 |
77.5 |
310 |
265 |
1123 |
21 |
Maleri Jelam |
2 |
27.5 |
55 |
200.33 |
243.07 |
22 |
Mapang-Bogidiyar |
2 |
100 |
200 |
465.07 |
882.04 |
23 |
Naitwar-Moro |
3 |
11 |
33 |
76 |
151 |
24 |
Nand Prayag |
3 |
47 |
141 |
72 |
794 |
25 |
Ramganga |
3 |
22 |
66 |
100.1 |
327 |
26 |
Rishi Ganga-1 |
2 |
35 |
70 |
536.17 |
327.3 |
27 |
Rishi Ganga-2 |
1 |
35 |
35 |
236.96 |
164.64 |
28 |
Rupsiabagar Khasiyabara |
2 |
130 |
260 |
449.47 |
1195.63 |
29 |
Sela Urthing |
2 |
115 |
230 |
225.5 |
816.73 |
30 |
Sirkari Bhyol Rusiabagar |
3 |
70 |
210 |
388.97 |
967.97 |
31 |
Taluka Sankri |
2 |
70 |
140 |
564.9 |
559.47 |
32 |
Tamak Lata |
4 |
70 |
280 |
291.4 |
1040.7 |
33 |
Urthing Sobla |
4 |
70 |
280 |
414.96 |
1360.2 |
Total |
5282 |
22070.54 |
2.2. Why we need WCHE
Hydropower and water conservancy projects exhibit exceptional flood retention and water storage capabilities [6]. These engineering structures effectively mitigate floodwaters and alleviate waterlogging, thereby significantly reducing the ecological damage caused by flooding events. Furthermore, through their water storage functions, these projects play a crucial role in regional water resource regulation, ensuring reliable water supply for agricultural irrigation and domestic consumption, while fully optimizing the multifunctional utilization of river systems. To "develop the economy," a large number of water conservancy and hydropower projects must be constructed. To "protect the ecological environment," fewer or even no water conservancy and hydropower projects should be built. Regarding this contradictory issue, the impacts of large-scale water conservancy and hydropower project construction on the regional ecological environment are elaborated in detail. Generally speaking, the impacts of water conservancy and hydropower projects on the water resources environment mainly include hydrological conditions, water quality (including eutrophication of water bodies and pH value), the ecosystem of rivers, the connection of aquatic organisms, and limitations on human health. Currently, the hydropower development rates in most developed countries are very high, and in some countries, they even exceed 90%. In contrast, the development level of hydropower resources in developing countries is extremely low, generally around 10%. Research by relevant departments indicates that in the next 20 years, to address the problem of water resource shortage, achieve rational allocation, and meet the requirements in aspects such as flood control and power supply, large-scale water conservancy and hydropower projects still need to be constructed. However, the impact of large hydropower projects on the water body itself has received unprecedented attention, and most countries around the world are more seriously examining, studying, postponing, and in some extreme cases terminating or abandoning new hydropower development schemes. Therefore, in the coming period, water resources pollution will become an important constraint for the further development of the entire water conservancy industry. In order to correctly deal with the relationship between the construction of large-scale water conservancy and hydropower projects and the protection of water resources and the environment, we must scientifically and realistically analyze what kind of pollution problems may be caused by the construction of large-scale water conservancy and hydropower projects, what are the specific manifestations of ecological constraints, and carry out specific analysis of specific problems in combination with the actual situation, distinguish the primary and secondary, and grasp the key.
3. Discussion
3.1. WCHE can also cause water pollution
The construction of hydropower stations does indeed cause water pollution . The construction of DAMS will alter the flow state of the water body, including flow rate and velocity, or will even cause the flowing live water to become stationary dead water, the self-purification capacity of water body will be reduced, and algae will grow excessively, resulting in the eutrophication of reservoir water body and the decline of water quality. In addition, submerged plant organisms decompose in water, producing gases such as hydrogen sulfide, carbon dioxide and methane, sometimes exceeding the pollutants emitted by thermal power.
3.1.1. Hydrology
Hydrology [7] refers to various phenomena such as the change and movement of water. It includes not only water flow pattern and velocity change, runoff process and water quantity change in nature, changes in water level and depth, water temperature change, water quality change and ecological influence, but also includes the formation, circulation, spatial and temporal distribution, chemical and physical properties of water, and the interrelationship between water and the environment.
After the construction of the reservoir, the flow course of the downstream river is changed, and the surrounding environment is affected. After the construction of hydropower station, the reservoir holds up the runoff and affects the water volume of the downstream river. During the flood season, the reservoir reduces the downstream flow of the river; During dry season, the reservoir releases water to increase the downstream water. This regulatory effect helps mitigate downstream flooding and drought. However, it is difficult to control the flow velocity. After the construction of hydropower station, the flow velocity of upstream reservoir slows down, the flow direction changes, and the flow becomes more gentle and more stable. The flow of water downstream of the reservoir speeds up, changes direction, and becomes more turbulent and unstable. The reservoir not only stores the flood in flood season, but also blocks the base flow in non-flood season, which often causes the water level of the downstream river to drop significantly or even cut off the flow, and causes the surrounding groundwater level to drop, resulting in a series of environmental and ecological problems: the downstream natural lakes or ponds cut off the source of water and dry up; The water table in the downstream area decreases; The decrease of river flow in the estuary leads to the siltation of the estuary, resulting in seawater backflow. For instance, the Colorado and Rio Grande rivers in the United States have seen their discharge volumes decrease by 99.5% and 96% in 2009. Similarly, Dongting Lake, one of China's five largest freshwater lakes, has experienced a 30% reduction in its surface area over the past three decades respectively, due to reservoir impoundment. Due to the decrease of river flow, the self-purification capacity of river decreases. Most of the reservoirs with power generation as the peak load in the power system, the daily variation of the discharge volume is large, resulting in a large change in the water level of the downstream river, which has a great impact on navigation, irrigation water diversion level and fish culture. When the water level of the downstream river of the reservoir drops significantly and even stops flowing, the water quality is bound to deteriorate.
3.1.2. The water project changes the flow rate of water
The flow of water in a river changes as it stagnates in the reservoir. The storage of the reservoir may bring some positive effects. The flow rate of the large volume water body in the reservoir is slow and the retention time is long, which is conducive to the settlement of suspended matter, and can reduce the turbidity and chroma of the water body. The flow rate in the reservoir is slow, algae activities are frequent, and carbon dioxide produced by respiration combines with calcium and magnesium ions in the water to produce calcium carbonate and magnesium carbonate and precipitates down, reducing the hardness of the water. But lower flow rates can also have a bad effect on water quality. The flow velocity in the reservoir is small, which reduces the exchange rate of water and gas interface and the migration and diffusion ability of pollutants, so the reoxygenation capacity is weakened, and the self-purification capacity of the reservoir is weaker than that of the river. The water flow rate in the reservoir is small and the transparency is increased, which is conducive to algae photosynthesis. The water stored in front of the dam for several months to several years will lead to eutrophication due to the large growth of algae. Submerged vegetation and decaying organic matter will consume a large amount of oxygen in water, and release methane and a large amount of carbon dioxide, which also lead to the greenhouse effect; The suspended material is deposited at the bottom of the reservoir and is not easy to migrate over a long period of time. If it contains toxic substances or heavy metals that are difficult to degrade, secondary pollution sources can be formed Also, the water temperature of the reservoir may rise and the water quality may deteriorate, especially the water pollution in the channel of the reservoir is easy to occur, such as the occurrence of bloom phenomenon, which is the characteristic of water eutrophication.

It can be seen that the total amount (the area below the line) of them is almost the same (see Figure 1), but after the reservoir is completed, it will appear more uniform throughout the year.
3.1.3. Eutrophication
Water eutrophication refers to the excessive nitrogen, phosphorus and other nutrients in the water, resulting in the rapid proliferation of algae and other plankton, resulting in the deterioration of water quality [8]. This situation will lead to unusually high water productivity, changes in the structure of biological communities, and in severe cases may lead to deterioration of water quality, affecting human health and aquatic life. When the depth of the reservoir reaches the depth of the death of the original vegetation, the nutrients of the surrounding farmland, forests and grasslands enter the water body with rainfall runoff. At the same time, the reservoirs of hydropower stations may trap nutrients such as nitrogen and phosphorus in the watershed, leading to eutrophication of the water and promoting the overgrowth of algae and other aquatic plants.
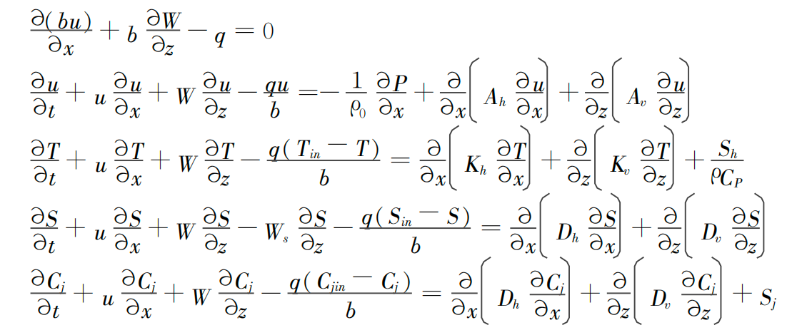
The Soil and Water Assessment Tool (SWAT) [9], as a comprehensive watershed hydrological environment assessment instrument, was developed by Dr. Jeff Arnold for the Agricultural Research Service (ARS) of the United States Department of Agriculture (USDA) as a distributed environmental hydrological model. Its reservoir, pond, and channel routing components incorporate an eutrophication module, which can be utilized to assess the impact of nutrient loads from human activities within the watershed on adjacent aquatic ecosystems. However, when applying this model to the study of eutrophication in river-type reservoirs, certain limitations emerge: the reservoir routing is based solely on a simplistic water balance principle, failing to account for the influence of water flow on algal growth; it does not reflect the distribution of underwater light intensity with depth and its effect on algal growth, nor does it consider the thermal stratification and temperature structure caused by density currents in reservoirs; furthermore, the sediment and eutrophication modules are overly simplistic, making it difficult to accurately represent the ecological characteristics of river-type reservoirs. Consequently, this study employs an eutrophication water body model specifically designed for elongated river-type reservoirs as a substitute for the SWAT reservoir routing calculations. The fundamental equations constituting the adopted eutrophication water body model are as follows (see Figure 2):

In the equation: b represents the river width; t denotes time; x and z are the longitudinal and vertical coordinates, respectively; q signifies the flow rate and lateral inflow; u and W indicate the longitudinal and vertical flow velocities, respectively; P stands for pressure; S, T, Sin, and Tin represent the suspended sediment concentration, temperature, tributary sediment concentration, and tributary temperature, respectively; Cj and Cjin denote the concentration of the jth pollutant and its tributary concentration (where j = 1, 2, 3, 4, 5, 6, 7 corresponds to chlorophyll a, intracellular phosphorus, intracellular nitrogen, available phosphorus, available nitrogen, dissolved oxygen (DO), and biochemical oxygen demand (BOD), respectively). Ah and Av are the horizontal and vertical turbulent viscosities, respectively; Kh and Kv represent the horizontal and vertical turbulent diffusion coefficients for temperature, respectively; Dh and Dv signify the horizontal and vertical turbulent diffusion coefficients for sediment and pollutants, respectively; ρ and ρ0 denote the water density and reference density, respectively; Sh represents the source and sink terms of thermal radiation energy in each layer; Cp is the specific heat capacity of water; Sj denotes the biochemical term for the jth pollutant.
From the above analysis, it can be concluded that the characteristics of eutrophication in rivers and reservoirs are mainly determined by the hydrological conditions of the reservoirs. The hydrological conditions not only determine the single-peak annual variation characteristics of phytoplankton in the reservoirs but also have an important influence on the annual peak process of algal biomass. Therefore, it can be considered to prevent algal blooms by changing the hydrological conditions of the reservoirs. Ecological water diversion is a means of preventing eutrophication by shortening the hydraulic retention time of the water body, increasing the flushing rate of the water body and diluting the concentration of nutrients, thereby achieving the prevention of algal blooms.
3.2. Solutions
3.2.1. Chemical method
The chemical treatment method for sewage involves using chemical reactions of pollutants to separate and recover harmful substances in the sewage, or converting them into harmless substances [10]. The main approach for treating polluted water bodies chemically is to add chemical agents and adsorbents to alter the redox potential and pH of the water body, and to adsorb and precipitate suspended substances and organic matter in the water body. By taking advantage of the colloid chemical properties of substances, the flocculation principle is applied to cause aquatic plants to coagulate and precipitate at the bottom of the water body, while maintaining a certain concentration of copper ions can exert a herbicidal effect. Chemical methods have the advantages of simple operation and low dosage, and they usually show quick results. Generally, they can be used as an emergency solution. Moreover, chemical methods for treating eutrophic water bodies are usually not sustainable and do not address the root cause of the problem.
The chemical treatment method for sewage involves using chemical reactions of pollutants to separate and recover harmful substances in the sewage, or converting them into harmless substances. The main approach for treating polluted water bodies chemically is to add chemical agents and adsorbents to alter the redox potential and pH of the water body, and to adsorb and precipitate suspended substances and organic matter in the water body. By taking advantage of the colloid chemical properties of substances, the flocculation principle is applied to cause aquatic plants to coagulate and precipitate at the bottom of the water body, while maintaining a certain concentration of copper ions can exert a herbicidal effect. Chemical methods have the advantages of simple operation and low dosage, and they usually show quick results. Generally, they can be used as an emergency solution. Moreover, chemical methods for treating eutrophic water bodies are usually not sustainable and do not address the root cause of the problem.
3.2.2. Physical method
Physical method remediation involves treating sewage that has undergone simple pretreatment [11]. Through physical sedimentation, filtration and adsorption, it further removes the sedimentable solids, colloids, BOD, nitrogen, phosphorus, heavy metals, bacteria, viruses and other substances that are difficult to dissolve. Physical measures can be used alone and are often the preparatory measures prior to ecological restoration and other measures. First, the artificial aeration purification technology is based on the characteristic that water bodies in lakes and reservoirs become anaerobic after being polluted. By artificially introducing air or oxygen into the water bodies, it accelerates the process of oxygen replenishment in the water bodies, thereby increasing the dissolved oxygen level in the water bodies and restoring the vitality of aerobic microorganisms. This technology enhances the self-purification ability of water bodies and is a rapid, efficient, simple and feasible pollution control technology. However, it has high investment costs and relatively high operation and management expenses. Generally, the aeration technology is applied to the treatment of water bodies with more severe pollution. Second, draining polluted water and replenishing clean water is a relatively effective and common method for ecological restoration of water bodies. By replacing the negatively-nutrientized lake water with clean water with lower nutrient concentrations, or by increasing the inflow volume to wash out the lake water prone to algal blooms, through water body replacement and external water supply, the nutrient concentration of the water body can be diluted, increasing the water body's fluidity, thereby preventing and inhibiting the explosive reproduction of algal blooms. However, "draining polluted water and replenishing clean water" can cause the transfer of pollutants. Improper operation may lead to larger-scale water pollution. Third, Lake sediment is an important component of the lake ecosystem. The construction of reservoirs has accelerated the deposition of nutrient-rich sediment. Dredging is an auxiliary and supplementary method for restoring the water body ecosystem and improving water quality. However, if the operation is improper, it will cause secondary pollution.
3.2.3. Biological method
In addition, A biological method for controlling water body eutrophication - ecological floating islands [12] - has been developed in some Western developed countries such as Japan, Germany and the United States [13]. The purification mechanism of the floating island technology mainly consists of the following five aspects. Firstly, floating island plants absorb and adsorb nitrogen and phosphorus substances in water bodies: floating island plants absorb and take in nitrogen and phosphorus and other nutrients from water bodies through their root systems to nourish their own growth, thereby improving water quality. Secondly, the enlarged root systems of plants increase the contact area with water bodies for oxidation, and they can secrete a large amount of enzymes to accelerate the decomposition of pollutants. Thirdly, the algicidal efficacy of floating island plants: Some plants can specifically inhibit the growth of certain algae. For instance, reeds have inhibitory effects on both microcystis aeruginosa and chlorella vulgaris, which are responsible for water blooms. Fourthly, the symbiotic and interactive effects between floating island plants and microorganisms: floating island plants transport oxygen to the root zone, creating different microhabitats such as aerobic, facultative and anaerobic ones in the root zone, providing suitable environments for the survival of various microorganisms. At the same time, microorganisms can degrade some organic substances that plants cannot directly absorb into nutrients that plants can absorb. Fifthly, the shading effect of floating islands on sunlight: Floating islands occupy a certain area of water surface. In eutrophic water bodies, they can weaken the photosynthesis of algae and delay the outbreak of algal blooms.
The production process of floating island and the requirements for each component is shown in Figure 3.

As a new type of water treatment technology for eutrophic water bodies, the artificial ecological floating island technology has received increasing attention. Germany has long utilized rubber rafts to provide buoyancy and fabricated dry floating islands to enhance the landscape. In Japan, at Kasumikaura Lake, high-strength foams, wooden frames, and palm nets were used to create floating islands to improve the water quality. In China, in the demonstration project implemented in Nanxiangji River of Hangzhou City in 1999, the floating island technology was adopted to improve water quality. After about 5 months of treatment, the sensory characteristics and water quality of the entire river have achieved significant improvement, the malodorous smell has been effectively controlled, and the water quality of the isolated sections has fundamentally improved. Thus, it can be seen that the application of floating islands has potential in improving water body eutrophication.
3.2.4. Derivative effects of water pollution on human
Many diseases such as amoebic dysentery, typhoid, malaria, bacillary dysentery, cholera, schistosomiasis, etc. are directly or indirectly related to the water environment. For example, after the completion of Danjiangkou Reservoir and Xinanjiang Reservoir in China, the original land became wetland, which was conducive to the breeding of mosquitoes, and malaria was once prevalent in 2002. Since the Three Gorges Reservoir is located between two major schistosomiasis endemic areas (Chengdu Plain in Sichuan Province and the middle and lower reaches of the Yangtze River Plain), the water level has increased and the flow rate has slowed down after the construction of the reservoir, so the snails can migrate from the upper or lower reaches to the reservoir and breed there and invade human settlements.
In order to mitigate the negative impacts of water conservancy projects on water resources, ensure water resource security and reduce water pollution, it is necessary to introduce relevant policies and laws to enhance the enforcement capacity and impose restrictions on them. In the management of water conservancy project construction, it is necessary to establish a sound and complete water ecological environment management system. In terms of planning, it is essential to ensure that water ecological environment protection and water conservancy project construction proceed simultaneously. Firstly, relevant policies can be formulated to encourage and support the development of green industries such as ecological agriculture and ecological support tourism in affected areas, promoting economic transformation and sustainable development. Secondly, stricter water ecological environment protection laws and regulations should be formulated, strengthening the penalty for illegal acts that pollute water environment, and clarifying relevant responsibilities and obligations through legislation to clearly define the ecological responsibilities of water conservancy projects, ensuring the effective implementation and supervision of ecological compensation measures.
4. Conclusion
This article examines the pollution and residual effects of Water Conservancy and Hydropower Engineering (WCHE) on water resources, as well as the related solutions and strategies. Firstly, in the modern society, while rapid construction is underway, the pollution to the environment is overlooked. Among them, water pollution has brought serious harm to the ecological environment and residents' water supply. Water pollution includes physical pollution, chemical pollution and biological pollution. This article takes Water Conservancy and Hydropower Engineering as an example and discusses the types of sedimentation pollution and eutrophication pollution caused by their impact on hydrology. Although Water Conservancy and Hydropower Projects have a series of environmental and economic benefits such as flood control, water supply, irrigation and power generation, their construction and operation also bring about changes in water flow velocity and volume, especially the water flow in the downstream becomes more turbulent and unstable, which disrupts the natural balance and leads to downstream sedimentation pollution problems, decreased self-purification capacity caused by decreased dissolved oxygen rate in water bodies, and eutrophication. This not only poses a threat to the survival of aquatic organisms but also brings many bacterial diseases to humans. 3 methods are introduced in this paper, they’re chemical method, physical method and biological method [14]. The key things in making an assessment of advantages and limitations for these 3 methods are:
1) Chemical methods involve adding chemical reagents and adsorbents to generate chemical reactions with pollutants, thereby separating and recovering harmful substances in wastewater, or directly converting them into harmless substances to achieve quick results. For instance, adding chemical precipitants such as aluminum salts and iron salts can combine phosphorus, nitrogen and other nutrients in water with dissolved substances in the water body to form precipitates, effectively removing nutrients from water and addressing the problem of eutrophication. However, this may only serve as a temporary measure. If not managed properly, it may cause secondary pollution.
2) Physical methods such as sedimentation, filtration and artificial aeration have been proved to be effective in improving water quality by enhancing the natural purification process. However, these techniques usually require a large amount of capital investment and have limited application scope.
3) In comparison, biological methods, especially those using ecological floating islands, offer a more sustainable and environmentally friendly approach. By leveraging the natural abilities of plants and related microorganisms to absorb nutrients and degrade pollutants, compared to the previous two methods, biological methods not only improve water quality but also restore ecological balance. However, they still face the drawback of relatively high costs for island construction.
Finally, the discussion involves the necessity of formulating comprehensive policies and strategic planning [15]. Clearly, under the influence of water environment, water quality management cannot rely solely on technical or engineering solutions. Instead, establishing strict environmental regulations, enhancing law enforcement capabilities, and promoting interdisciplinary cooperation among engineers, environmental scientists, and policy makers are of vital importance. These measures ensure that the design and operation of water conservancy projects fully take into account ecological sustainability.